LEMON Manuals: Even more car manuals for everyone
Home >> Chevrolet >> 2013 >> Camaro V8-6.2L SC >> Repair and Diagnosis >> Heating and Air Conditioning >> Testing and Inspection >> Initial Inspection and Diagnostic Overview >> Air Conditioning (A/C) System Performance Test

Air Conditioning (A/C) System Performance Test




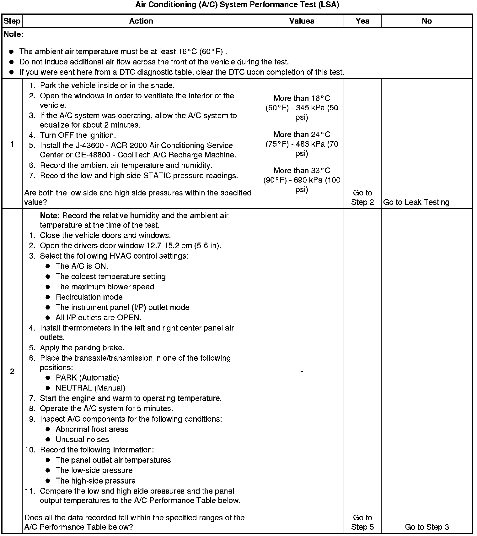
Air Conditioning (A/C) System Performance Test (LSA)

This test measures the operating efficiency of the A/C system under the following conditions:

* The current ambient air temperature

* The current relative humidity

* The high side pressure of the A/C system

* The low side pressure of the A/C system

* The temperature of the air being discharged into the passenger compartment

Test Description

The numbers below refer to the step numbers on the diagnostic table.

1. This step determines if the A/C system has at least the minimum refrigerant charge required to operate the system without damage.

2. This step measures the performance of the A/C system.

3. This step is to allow for vehicle variations as well as high ambient temperatures.