LEMON Manuals: Even more car manuals for everyone
Home >> Hummer >> 2009 >> H2 V8-6.2L >> Repair and Diagnosis >> Powertrain Management >> Computers and Control Systems >> Specifications >> Temperature Versus Resistance

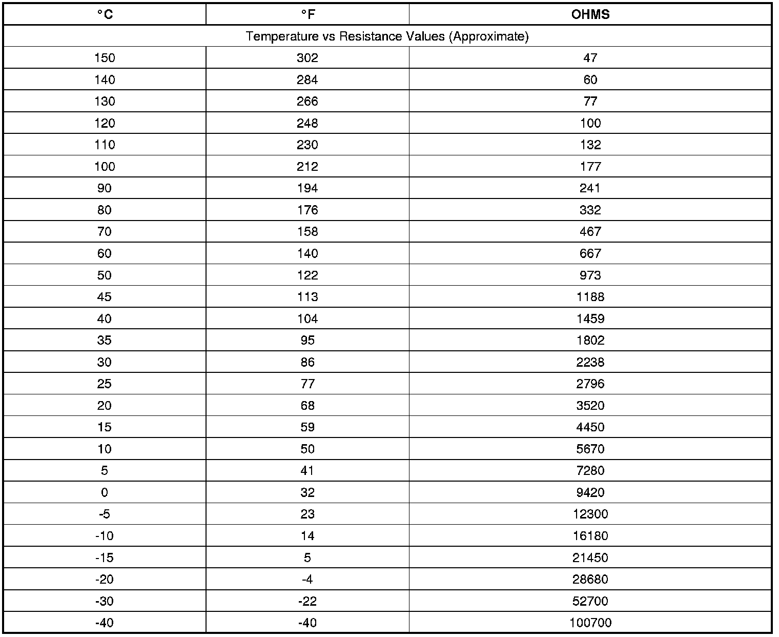
Temperature Versus Resistance




Temperature Versus Resistance