LEMON Manuals: Even more car manuals for everyone
Home >> Saturn >> 2006 >> ION L4-2.0L SC VIN P >> Repair and Diagnosis >> Lighting and Horns >> Testing and Inspection >> Scan Tool Testing and Procedures >> Scan Tool Data List

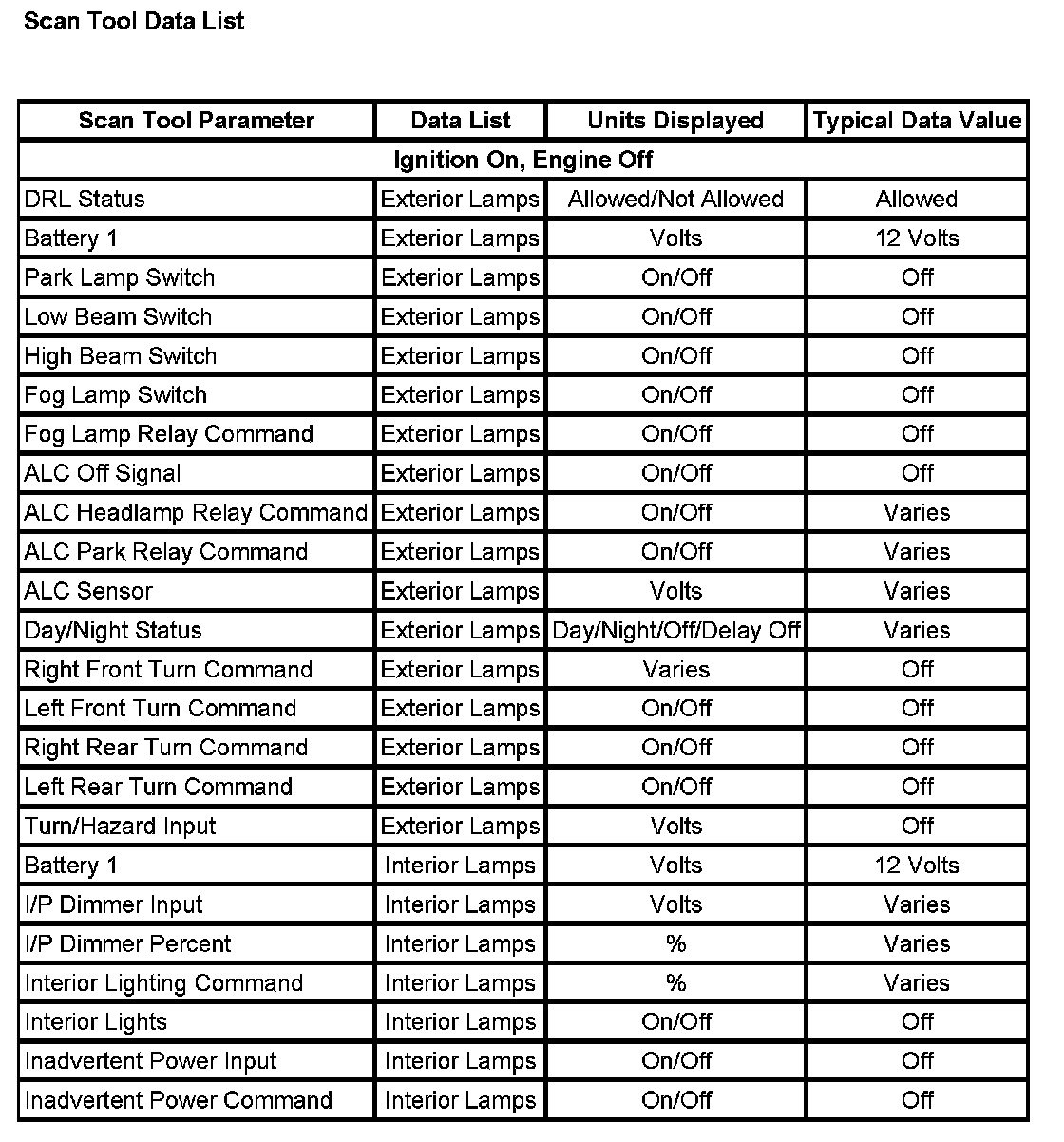
Scan Tool Data List

Scan Tool Data List: