LEMON Manuals: Even more car manuals for everyone
Home >> Volvo >> 2012 >> XC70 AWD L6-3.2L VIN 94 B6324S4 >> Repair and Diagnosis >> Specifications >> Capacity Specifications >> Engine >> System Specifications >> Lubricants, Engine

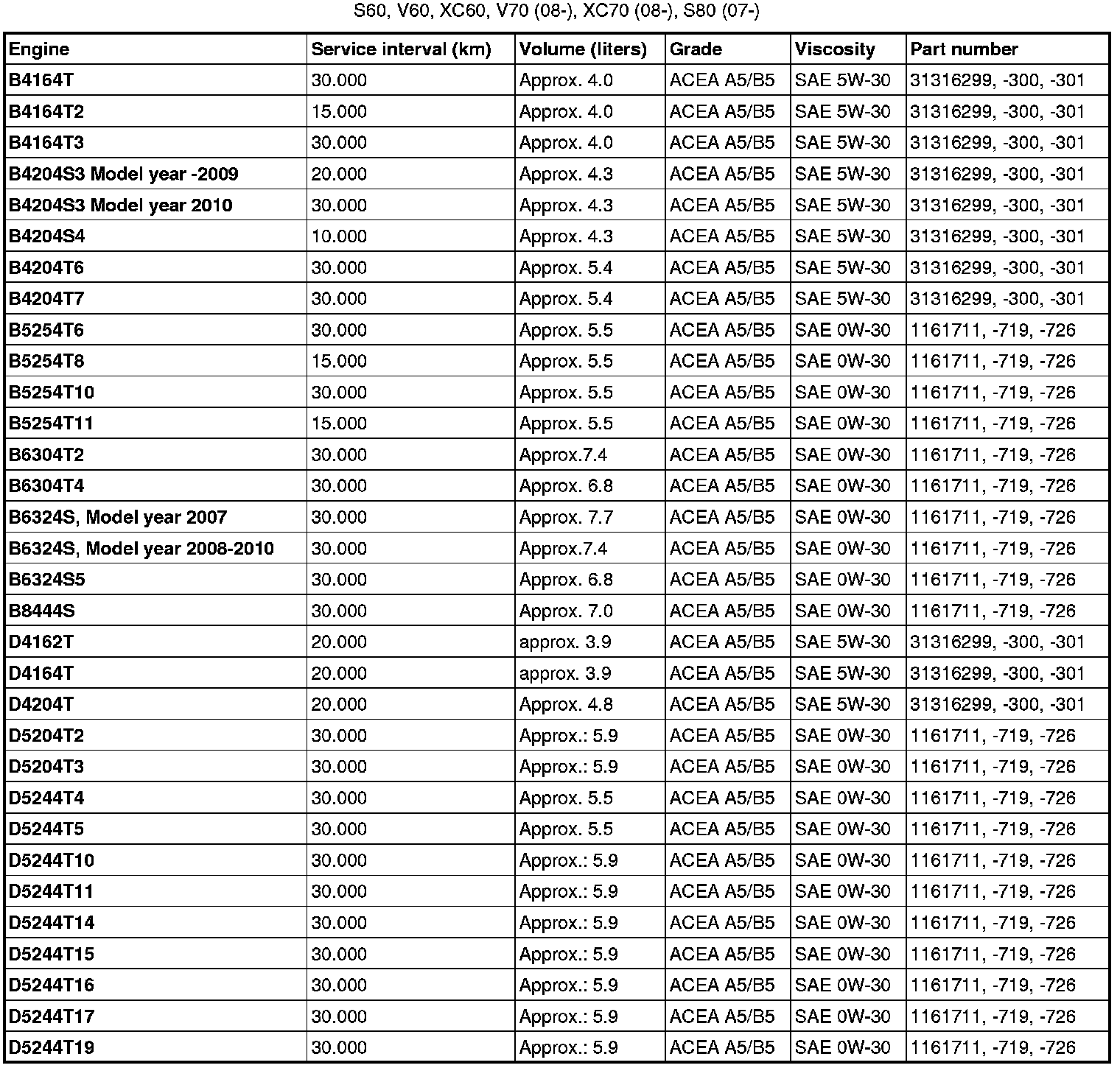
Lubricants, Engine






Lubricants, engine

EU






USA and CDN






Rest of the world





Oil grade ACEA A3/B3/B4 can be replaced with ACEA A5/B5, not the other way around.